Skip to content

xtenzQ/2D-metaballs

Folders and files

NameName
Last commit message
Last commit date

Latest commit

 

History

13 Commits
 
 
 
 
 
 
 
 
 
 

Repository files navigation

Metaballs 2D

Contents

  1. Before we start
  2. IDEs and plugins used
  3. Definition
  4. Defining circles
  5. Marching squares method
  6. Project structure
  7. Screenshots

Before we start

This project is based on following articles:

  1. "Metaballs and Marching Squares" by Jamie Wong
  2. "Marching Squares Implementation" by Tom Gibara
  3. "Polygonising a scalar field" by Paul Bourke
  4. "Metaballs" from Wikipedia

Special thanks to @aptem336 for helping me to seek for information and implementations of similar projects. Go check his own implementation of 3D metaballs.

The application is developed as the part of the project for computer graphics course at Irkutsk National Research Techincal University.

IDEs and plugins used

Definition

Metaballs are organic-looking objects that can be defined as a function in n-dimensions. - Wikipedia

Metaballs from Wikipedia

Metaballs from Wikipedia

I'm gonna show you the way to code 2D metaballs and explain some math-related stuff.

Defining circles

Based on Jamie Wong article [1]

As we have two dimensional metaballs the problem is to find all the points inside a circle limited by its bounds. Let’s look at equation defining a circle with center at (x0,y0) and radius r:

Circle equation

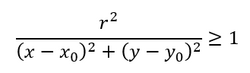
If we want to model all the points inside circle including its bound:

Circle equation

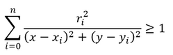
Having all the interacting circles we can model all the points inside them if a circle of i is defined with center at (xi,yi) and radius ri:

Circle equation

And finally we get the equation defining two dimensional metaballs:

Circle equation

Code:

public static double f(double[] B) {
    double sum = 0;
    for (Circle circle : Data.Balls) {
        // SUM (r_i)^2 / ((x - x_i)^2 + (y - y_i)^2)
        sum += Math.pow(Data.circleSize, 2) / ((Math.pow(B[0] - circle.x, 2) + Math.pow(B[1] - circle.y, 2)));
    }
    return sum;
}

Marching squares method

Marching squares is a computer graphics algorithm that generates contours for a two-dimensional scalar field (rectangular array of individual numerical values) - Wikipedia

Best solution with detailed explanation is given in Paul Bourke article [3].

Imgur

All kinds of grid cell angles

Binary tables:

/**
 * Binary tables
 */
static int[] edgeTable = {
    0x0, 0x9, 0x3, 0xA,
    0x6, 0xF, 0x5, 0xC,
    0xC, 0x5, 0xF, 0x6,
    0xA, 0x3, 0x9, 0x0
};

static int[][] lineTable = {
    {-1, -1, -1, -1},
    {3, 0, -1, -1, -1, -1},
    {0, 1, -1, -1, -1, -1},
    {1, 3, -1, -1, -1, -1},
    {1, 2, -1, -1, -1, -1},
    {1, 2, 3, 0, -1, -1},
    {0, 2, -1, -1, -1, -1},
    {2, 3, -1, -1, -1, -1},
    {2, 3, -1, -1, -1, -1},
    {0, 2, -1, -1, -1, -1},
    {0, 1, 2, 3, -1, -1},
    {1, 2, -1, -1, -1, -1},
    {1, 3, -1, -1, -1, -1},
    {0, 1, -1, -1, -1, -1},
    {3, 0, -1, -1, -1, -1},
    {-1, -1, -1, -1, -1, -1}
};

Marching squares method:

private static void buildSquare(int i, int j) {

    double[][] gridP = wMath.gridPoints(i, j);
    double[] gridV = wMath.gridValues(i, j);
    int squareIndex = wMath.squareIndex(gridV);
    int edges = wMath.edgeTable[squareIndex];
    if (edges != 0) {

        double[][] vertList = new double[4][2];

        if ((edges & 1) > 0) {
            vertList[0] = wMath.vertexInter(gridP[0], gridP[1], gridV[0], gridV[1]);
        }
        if ((edges & 2) > 0) {
            vertList[1] = wMath.vertexInter(gridP[1], gridP[2], gridV[1], gridV[2]);
        }
        if ((edges & 4) > 0) {
            vertList[2] = wMath.vertexInter(gridP[2], gridP[3], gridV[2], gridV[3]);
        }
        if ((edges & 8) > 0) {
            vertList[3] = wMath.vertexInter(gridP[3], gridP[0], gridV[3], gridV[0]);
        }

        double[][][] lines = new double[2][2][2];
        int nlines = 0;
        for (i = 0; wMath.lineTable[squareIndex][i] != -1; i += 2) {

            lines[nlines][0] = vertList[wMath.lineTable[squareIndex][i]];
            lines[nlines][1] = vertList[wMath.lineTable[squareIndex][i + 1]];
            nlines++;
        }

        for (j = 0; j < nlines; j++) {
            Grid.createLine(lines[j], Data.metaColor);
        }
    }
}

Linear interpolation:

    public static double[] vertexInter(double[] D, double[] B, double fD, double fB) {
        double[] mS = new double[]{(D[0] + B[0]) / 2, (D[1] + B[1]) / 2};
        double[] Q = new double[2];
        if (Math.abs(1 - fD) < 0.0005) {
            return D;
        } else if (Math.abs(1 - fB) < 0.0005) {
            return B;
        } else if (Math.abs(fD - fB) < 0.0005) {
            return mS;
        } else {
            double exp = (1 - fB) / (fD - fB);
            Q[0] = B[0] + (D[0] - B[0]) * exp;
            Q[1] = B[1] + (D[1] - B[1]) * exp;
        }
        return Q;
    }

Project structure

The project is made up of 8 classes:

  • Circle class defines metaballs' structure and methods and implements basic physics
  • Data class stores fields of parameters for metaballs
  • Grid class stands for grid definition
  • Impulse class contains a method giving impusle to metaball
  • Interface class builds interface
  • Listener class is obviously to listen to different program events like keyboard or mouse events
  • Metaballs class is the main class of the program
  • wMath class defines all the methods calculating all math-related parameters

Screenshots

Main window:

Main Window

Showing grid inside circles:

Grid inside circles

Marching squares mode enabled:

Marching squares

With enabled interpolation:

Enable interpolation

Scaling up a grid:

Scaling up a grid

UNDER CONSTRUCTION